성분명 검색
성분 기본정보
| 성분코드 |
1221 |
||
|---|---|---|---|
| 성분명 | 소듐코코피지-다이모늄클로라이드포스페이트 |
구명칭 |
소듐코코피지-디모늄클로라이드포스페이트 |
| 영문명 |
Sodium Coco PG-Dimonium Chloride Phosphate |
||
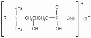
| 기원 및 정의 |
이 원료는 주로 다음의 구조를 갖는 4급 암모늄염이다. R은 코코넛오일에서 유래한 알킬 그룹이다. |
||
| 분자구조식 |
|
||
| 배합목적 | |||
| 화학물분류 | 협회 회원사 로그인 | ||
| 성분의 기원 | 협회 회원사 로그인 | ||
| 명칭변경이력 | 2017.09.29. 통칙변경 [소듐코코피지-디모늄클로라이드포스페이트(Sodium Coco PG-Dimonium Chloride Phosphate) ☞ 소듐코코피지-다이모늄클로라이드포스페이트 (Sodium Coco PG-Dimonium Chloride Phosphate)] |
||

