성분명 검색
성분 기본정보
| 성분코드 |
12908 |
||
|---|---|---|---|
| 성분명 | 수크로오스옥타아세테이트 |
구명칭 | |
| 영문명 |
Sucrose Octaacetate |
||
| CAS No. | 126-14-7 |
EC No | 204-772-1(I) |
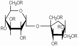
| 기원 및 정의 |
이 원료는 다음의 구조를 갖는 수크로오스의 아세틸화생성물이다. R은 아세틱애씨드라디칼이다. |
||
| 분자구조식 |
|
||
| 시성식 | C28H38O19 |
||
| 배합목적 | |||
| 화학물분류 | 협회 회원사 로그인 | ||
| 성분의 기원 | 협회 회원사 로그인 | ||

