성분명 검색
성분 기본정보
| 성분코드 |
18532 |
||
|---|---|---|---|
| 성분명 | 클로헥시딘 |
구명칭 | |
| 영문명 |
Chlorhexidine |
||
| CAS No. | 55-56-1 |
EC No | 200-238-7(I) |
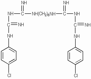
| 기원 및 정의 |
이 원료는 다음의 구조를 갖는 유기 화합물이다. |
||
| 분자구조식 |
|
||
| 시성식 | C22H30Cl2N10 |
||
| 배합목적 | |||
| 화학물분류 | 협회 회원사 로그인 | ||
| 성분의 기원 | 협회 회원사 로그인 | ||
10개 국가 성분 규제 정보
| 국내 규제 정보 |
구분 배합한도 고시명 클로헥시딘, 그 디글루코네이트, 디아세테이트 및 디하이드로클로라이드 단서 조항 점막에 사용하지 않고 씻어내는 제품에 클로헥시딘으로서 0.1%, 관련 성분 |
|---|---|
| 해외 규제 정보 | 해외 법령 정보 확인하기 해외 규제 성분 확인하기 |

