성분명 검색
성분 기본정보
| 성분코드 |
24294 |
||
|---|---|---|---|
| 성분명 | 아이소스테아릴폴리글리세릴-3다이메티콘 |
구명칭 | |
| 영문명 |
Isostearyl Polyglyceryl-3 Dimethicone |
||
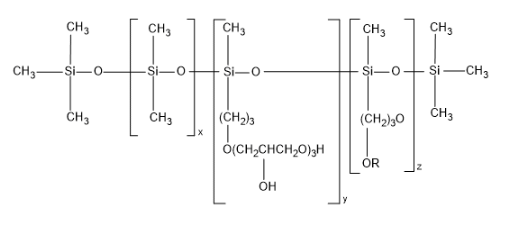
| 기원 및 정의 |
이 원료는 다음의 구조를 갖는 실리콘 중합체이다. |
||
| 분자구조식 |
|
||
| 배합목적 | |||
| 화학물분류 | 협회 회원사 로그인 | ||
| 성분의 기원 | 협회 회원사 로그인 | ||

