성분명 검색
성분 기본정보
| 성분코드 |
24669 |
||
|---|---|---|---|
| 성분명 | 다이소듐사이티딘포스페이트 |
구명칭 | |
| 영문명 |
Disodium Cytidine Phosphate |
||
| CAS No. | 6757-06-8 |
EC No | 229-819-3 |
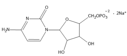
| 기원 및 정의 |
이 원료는 다음의 구조를 갖는 유기화합물이다. |
||
| 분자구조식 |
|
||
| 시성식 | C9 H14 N3 O8 P 2Na |
||
| 배합목적 | |||
| 상품명 |
Disodium Cytidine 5'-monophosphate (YAMASA CORPORATION) |
||

