성분명 검색
성분 기본정보
| 성분코드 |
7824 |
||
|---|---|---|---|
| 성분명 | 아스코빌리놀리에이트 |
구명칭 | |
| 영문명 |
Ascorbyl Linoleate |
||
| CAS No. | 121869-32-7 |
EC No | |
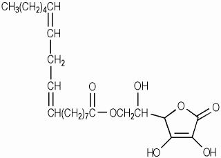
| 기원 및 정의 |
이 원료는 다음의 구조를 갖는 유기화합물이다. |
||
| 분자구조식 |
|
||
| 시성식 | C24H38O7 |
||
| 배합목적 | 산화방지제, 피부보호제, 피부컨디셔닝제(기타) |
||
| 화학물분류 | 협회 회원사 로그인 | ||
| 성분의 기원 | 협회 회원사 로그인 | ||

